江科附中2025高复招生:分层锻造,特级名师领航一本线突围
890
2025-03-31

IMDIV
计算x+yi或x+yj这两个形式表达的复数的商。
语法
IMDIV(inumber1, inumber2)
Inumber1 复数:复数形式的分子或被除数。
Inumber2 复数2:复数形式的分母或除数
说明

使用函数
COMPLEX
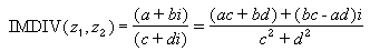
可以将实系数和虚系数复合为复数。两个复数商的计算公式为:
示例
如果您将示例复制到空白工作表中,可能会更易于理解该示例。
A
B
1
公式
说明(结果)
2
=IMDIV("-238+240i","10+24i")
返回公式中两个复数 3+4i 与 5-3i 的商。(5+12i)
版权声明:本文内容由网络用户投稿,版权归原作者所有,本站不拥有其著作权,亦不承担相应法律责任。如果您发现本站中有涉嫌抄袭或描述失实的内容,请联系我们jiasou666@gmail.com 处理,核实后本网站将在24小时内删除侵权内容。
版权声明:本文内容由网络用户投稿,版权归原作者所有,本站不拥有其著作权,亦不承担相应法律责任。如果您发现本站中有涉嫌抄袭或描述失实的内容,请联系我们jiasou666@gmail.com 处理,核实后本网站将在24小时内删除侵权内容。